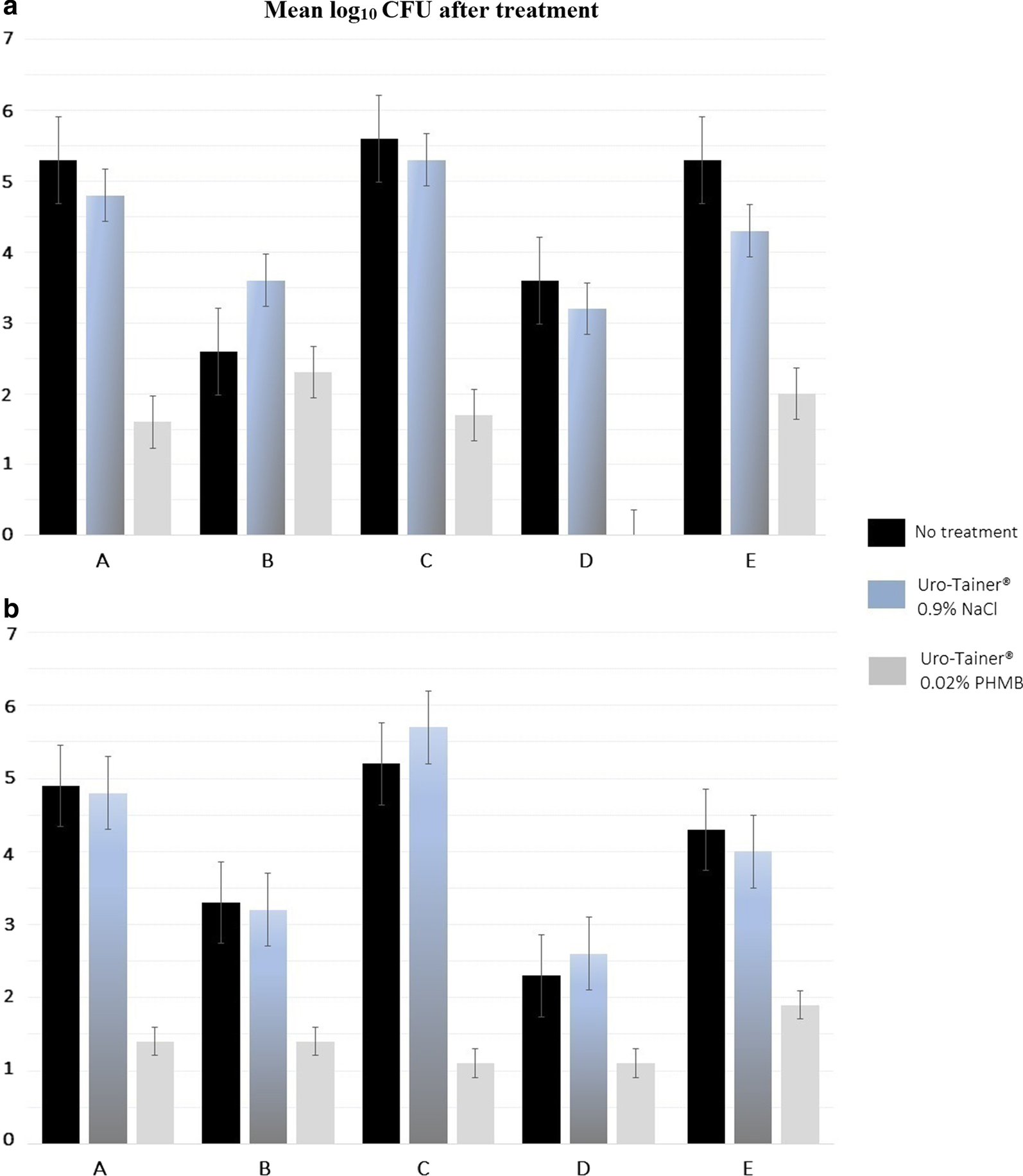
Fig. 1From: Biofilm reduction potential of 0.02% polyhexanide irrigation solution in several types of urethral cathetersCell counts after filtration of a rinsing solutions and b after swab sampling of catheters treated with different irrigation solutions. The values of log10 CFU are shown as the mean of 10 parallel replicationsBack to article page